About Thesis Coach
Thesis Coach is a small, specialised service focused on helping international students and early-career researchers finish demanding theses and papers with confidence — especially when English and complex methods are both challenging at the same time.
Who we work with
- Chinese students studying in Europe, North America, and Asia-Pacific
- Master's and PhD candidates in engineering, CS, business, and public health
- Researchers preparing journal submissions and conference papers
Typical project types
- Signal processing and control (e.g. active noise control with M-estimators)
- DRG/DIP payment reform and hospital management theses
- Military-civil fusion, resource sharing, and system dynamics models
- Data-driven business, finance, and operations research projects
What makes us different
- Code-aware editing: we actually read your scripts and parameters, not just the prose.
- Structured reports: parameter mapping tables, missing-content checklists, and defence-oriented feedback.
- Bilingual support: discuss problems in Chinese, deliver polished English.
Example outcomes & simulations
- For an impulse noise control thesis, we delivered a code-paper consistency report linking every key parameter (itr, L, M_s, M_p, 位, 伪) to specific equations and sections, plus a checklist of missing algorithm descriptions.
- For a hospital management thesis on DIP payment, we helped restructure the literature review, clarify the evaluation framework, and sharpen the "refined management" implications section, along with defence-ready slides.
- For military-civil fusion resource sharing research, we worked on the narrative around system dynamics modelling, causal loop diagrams, and policy simulation results so that non-technical committee members could follow the story.

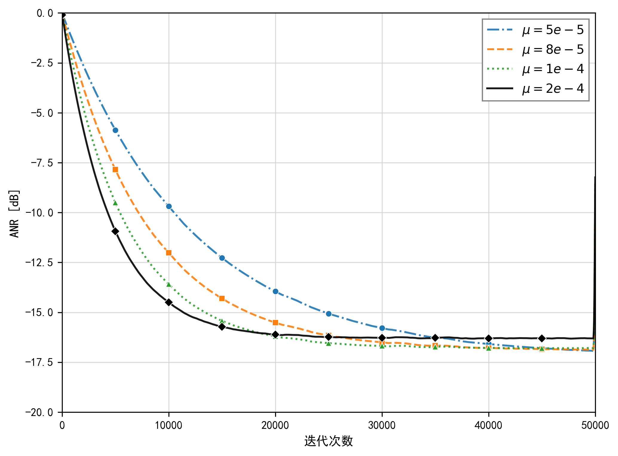
Simulation from an ANC thesis: convergence of an M-estimator-based EMCFxLMM algorithm compared with baselines.

Performance of an EMFxSLMS algorithm under different impulsive noise levels (example for 伪 = 1.6).

Comparative curves across several ANC algorithms, showing how simulation results connect back to thesis narratives and parameter choices.
Our Commitment
We provide comprehensive academic writing services including full thesis writing, editing, proofreading, and coaching. Our experienced team of native English speakers and subject matter experts ensures high-quality deliverables tailored to your specific requirements.
All client information and documents are kept strictly confidential. We guarantee timely delivery and offer multiple rounds of revisions until you are completely satisfied with the final result.